The Impact of Migration on Cultural Exchange
Case study on the rise of Afrobeats Music
Originally called Afrobeat(s), the musical genre was first made famous by the Nigerian legend Fela Kuti in the 1970s.
In the last two decades, this musical genre "made in Nigeria", has managed to conquer the entire continent and the planet with a new incarnation that mixes traditional African percussions and rhythms as well as modern sounds from R&B, dancehall, hip-hop and electro.
Artists like Wizkid , Burna Boy, and Davido helped popularize the genre at the international level today.
They combine for over 10 billion Spotify streams (2022) and 8 RIAA certifications.
The genre is slowly catching up to other international genres...
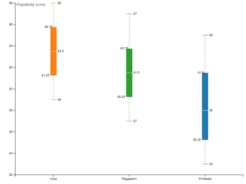
Streaming numbers distribution by genre. Source: Spotify
Streaming numbers distribution by genre. Source: Spotify
Afrobeats has been gaining popularity in recent years due to its upbeat and danceable sound. Many hits have been made popular because of social media (Tik Tok) and the viral dance challenges that each song produces.
Increased collaboration with international artists by producing hit songs contributed to the emergence of new subgenres, such as Afropop and Afrofusion. A new generation of talented artists are getting more exposure as a result.
A rise driven by immigration
Africa and Asia had a significant increase in international immigration in the last 30 years.
So did Latin America!
These immigration patterns are concordant with the rise in popularity of international music (Afrobeat, Reggaeton, and Kpop).
A Nigerian Dominance
Nigerian artists typically dominates Afrobeat charts.
And as of December 2022, 19 out of 20 Afrobeat songs were from Nigerian artists in the UK. The country currently has a perfect 100% on the billboard 50 in the U.S.
Here again, we can learn a lot from observing immigration patterns...
Nigeria and Ethiopia are the main contributors of Sub-Saharan African immigration into the U.S., combining for 31% of total immigration numbers.
However, it has been shown that Nigerians are among the most migrant populations in the world...
...unlike other African populations whose emigration patterns tend to be more concentrated. (See above for a side-by-side comparison with Ethiopia).
This particular mobility ensures that contemporary Nigerian culture - including Afrobeats - gets greater exposure from every corner of the world.
What now?
Recommendations
Photo by Colin Lloyd on Unsplash
Photo by Colin Lloyd on Unsplash
Music enthusiasts
Audiences in the U.S. and U.K. should support the rise of Afrobeat Music by purchasing/streaming their products. Click the button below to begin your Afrobeat journey!
African Diplomacy
The diplomatic corps of other African countries must actively seek to partner up with their Nigerian colleagues and intertwine their diasporas around the world.
Photo by Fabian Fauth on Unsplash
Photo by Fabian Fauth on Unsplash
Immigration Policy
This presentation also serves to remind policymakers in the U.S. about the unaccounted benefits of immigrations, which can inform developmental policy.
Reference
- Immigration trends data Tabulated from the United Nations International Migrant Stock.
- Billboard U.S. Afrobeats Songs (2022) https://www.billboard.com/charts/billboard-u-s-afrobeats-songs/
- Official Afrobeats Chart Top 20 https://www.officialcharts.com/charts/afrobeats-chart/
- Spotify streaming and artist popularity data from Kaggle.
- International Immigration Trends by Regions (1990-2020) https://public.tableau.com/app/profile/ibrahim.kante/viz/InternationalImmigrationTrendsbyRegions1990-2020/Sheet1#2
- Immigrant and Emigrant Populations by Country of Origin and Destination, mid-2020 Estimates from the MPI Data Hub. https://public.tableau.com/app/profile/mpi.data.hub/viz/InternationalMigrantsbyOriginandDestination2020/Dashboard1



